Размещено на портале Архи.ру (www.archi.ru)

21.09.2023

Инженерный практикум: методика расчета теплотехнических характеристик навесных фасадных систем HILTI

Мастерская:
HILTI

 
Навесные фасадные системы с воздушным зазором (далее – НФС) позволяют создавать уникальные архитектурные формы, применять различные облицовочные материалы и их комбинации, но помимо эстетических функций они выполняют также функцию утепления стен здания, где целью их применения является достижение требуемого приведенного сопротивления теплопередачи, согласно СП 50.13330.2012 «Тепловая защита зданий». 

Согласно приказу Минстроя России от 17 ноября 2017 г. № 1550/пр «Об утверждении требований энергетической эффективности зданий, строений, сооружений» для вновь создаваемых зданий (в том числе многоквартирных домов), строений, сооружений удельная характеристика расхода тепловой энергии на отопление и вентиляцию  уменьшается по отношению к базовой с 1 июля 2018 г. – на 20%, а с 1 января 2023 г. – на 40%. 
 
Это означает, что застройщику необходимо изыскивать дополнительные возможности для снижения потребления тепловой энергии, а расчетная проверка соответствия требованиям нормативных документов каждой конструкции обретает еще большее значение. Цена ошибки в расчетах возрастает.
Температурные поля в месте установки фасадного кронштейна Предоставлено Hilti
Температурные поля в месте установки фасадного кронштейна
Предоставлено Hilti
 Предоставлено Hilti
Предоставлено Hilti
 Предоставлено Hilti
Предоставлено Hilti
Вид фасада при тепловизионной съемке Предоставлено Hilti
Вид фасада при тепловизионной съемке
Предоставлено Hilti
 
Одним из таких является расчет приведенного сопротивления теплопередаче фрагмента стены с НФС. Согласно результатам исследований, большая часть энергии на отопление компенсирует тепловые потери через стены здания. В процентном выражении эта величина составляет около 40%. Поэтому крайне важно правильно выполнять данный расчет, чтобы корректно определить нормируемые показатели.
 
Для расчета необходимо пользоваться сразу несколькими нормативными документами, такими как: 
 
- СП 50.13330.2012 «Тепловая защита зданий»; 
- СП 131.13330.2020 «Строительная климатология»; 
- СП 345.1325800.2017 «Здания жилые и общественные. Правила проектирования тепловой защиты»; 
- СП 230.1325800.2015 «Конструкции ограждающие зданий. Характеристики теплотехнических неоднородностей»; – СП 60.13330.2020 «Отопление, вентиляция и кондиционирование воздуха»; 
- ГОСТ 30494-2011 «Здания жилые и общественные. Параметры микроклимата в помещениях». 
Кроме того, существует еще и методическое пособие ФАУ «ФЦС». 

Не правда ли, немалый список документов для одного единственного расчета? Наличие такого большого количества документов приводит к сложности навигации между ними для инженера, выполняющего расчет, а также увеличивает вероятность ошибки при расчетах.
 

Ключевые особенности методики


В целях предоставления проектировщику удобного и понятного инструмента для выполнения теплотехнических расчетов ограждающих конструкций с НФС марки HILTI институтом НИИСФ РААСН была разработана «Подробная методика расчета теплотехнических характеристик навесной фасадной системы производства АО «Хилти Дистрибьюшн ЛТД» с примерами расчета» (далее – методика), содержащая подробные пояснения к основным расчетным формулам, необходимые комментарии к последовательности расчета, а также практические примеры расчетов с пошаговыми инструкциями. При составлении методики учитывался обширный опыт инженерных расчетов для реальных объектов строительства.
 
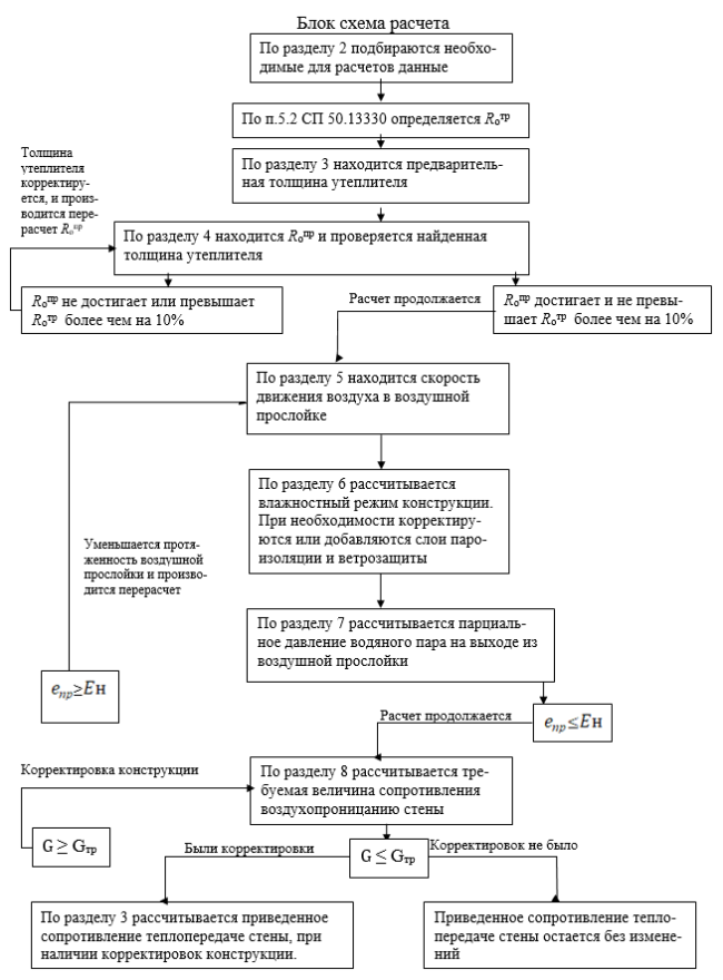
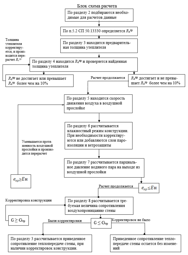
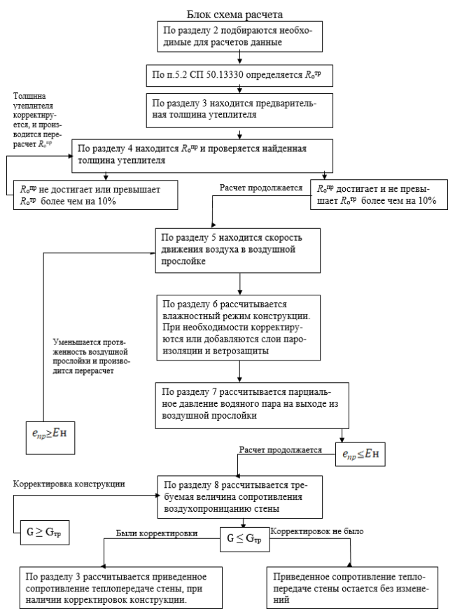
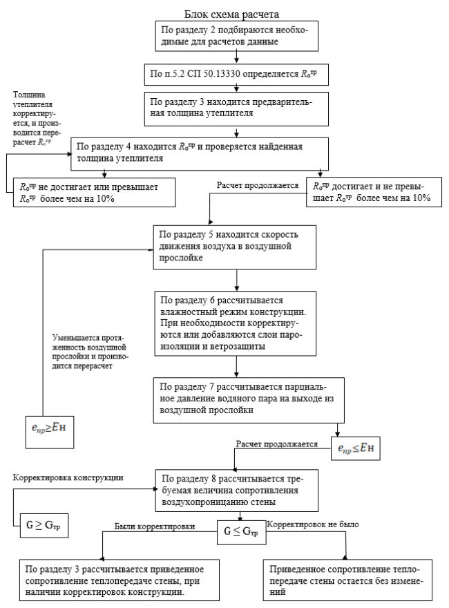
В 1 разделе методики представлено описание расчета в общем виде, представлена блок-схема, визуализирующая и упрощающая понимание взаимосвязей различных этапов и описывающая логику проведения расчета (рис.1). 
Рис.1 Блок-схема расчета
Рис.1 Блок-схема расчета
Раздел 2 посвящен необходимым для расчета данным. В том числе описаны необходимые данные по характеристикам элементов НФС, пленок и мембран (пароизоляции, гидроветрозащиты и так далее), а также нюансы их определения, которые отсутствуют в действующих нормативах. Например, описано, как должно корректно высчитываться среднее количество кронштейнов на квадратный метр фасада здания. Эта характеристика в свою очередь существенно влияет на достоверность всего расчета.
 
В разделе 3 описан метод подбора минимально необходимой толщины утеплителя. Формулы имеют исчерпывающие пояснения со ссылками на действующие нормативы. Приведены значения коэффициентов для некоторых наиболее распространенных видов материалов, из которых выполнена ограждающая конструкция.
 
Раздел 4 посвящен основной части – расчету приведенного сопротивления теплопередаче стен с НФС. Здесь очень подробно расписаны все формулы, даны комментарии по основным этапам расчета, а также уточнения по его положениям, которые неявно следуют из действующих нормативных документов.
 
В разделе 5 дана методика определения параметров воздухообмена в воздушной прослойке. В случае применения НФС расчет теплового баланса должен также включать определение скорости воздушных потоков в вентилируемой прослойке между внешним утеплителем и облицовкой. Расчет этот достаточно витиеватый, требующий итерационного подхода к определению величин. Поэтому большое внимание был уделено полному описанию всех этапов расчета.
 
В разделе 6 описывается расчет влажностного режима наружных стен. Здесь представлены комментарии о необходимых программных комплексах для выполнения расчета, оценке результатов расчета. Также дана методика расчета без использования специализированных программ. 
 
Раздел 7 посвящен расчету влажности выходе из вентилируемой воздушной прослойки. Даны важные уточнения по используемым в формулах величинам, даны ссылки на ресурсы, где определены данные величины. Что самое важное, отмечены рекомендации по возможным мерам улучшения влажностного режима воздушной прослойки. 
 
Раздел 8 содержит расчет требуемой величины сопротивления воздухопроницанию стены с НФС. Описаны нюансы назначения некоторых величин, которые не отражены в действующих нормативных документах. А также даны практические рекомендации по корректировке конструкции для снижения ее воздухопроницаемости, в случае необходимости. 
 
Особенное место выделено примерам расчетов, их два – для различных типов конструкций, в различных климатических условиях. Кроме того, конструктивные исполнения взяты с реальных объектов, и отражают актуальные расчетные ситуации. Например, в примере 2 отражен случай, когда целесообразнее использовать схему НФС с креплением в торцы плит перекрытий на каждом этаже. Также в примерах даны случаи, когда не выполняются требования некоторых разделов методики и приведены практические рекомендации по корректировкам. 
 
Все характеристики удельных потерь теплоты через кронштейны НФС Хилти были получены с привлечением НИИСФ РААСН, как ведущего научно-исследовательского института в этой области. Важно также отметить, что методика базируется исключительно на требованиях действующих нормативных документов. 
 
Таким образом, инженер может быть полностью уверен в том, что выполненный им расчет будет являться абсолютно эквивалентным расчету, выполненному по действующим нормативным документам, и может быть использован при подготовке проектной документации. С той лишь разницей, что расчет по методике будет занимать меньше времени, и будет выполнен с меньшей вероятностью возникновения ошибки.
 

Заключение

Ожидаемые эффекты от применения разработанной методики состоят в:
 
- Снижении трудозатрат и количества времени на проектирование при проведении расчета теплотехнических характеристик НФС HILTI, ввиду наличия всех необходимых расчетных положений в одном документе.
 
- Выполнение расчетов, основанных действующих нормативных документах, а также данных научно-технических отчетов ведущего научно-исследовательского института в этой области, позволяет быть абсолютно уверенным в достоверности результата.
 
Компания HILTI уже ведет разработку калькулятора, позволяющего полностью автоматизировать процесс расчета и выводить его в виде пояснительной записки с подробным обоснованием результатов.